tyc8722太阳集团城
首页
登录
English
旧版网站
学院概况
院长寄语
学院简介
学院机构
下属单位
挂靠单位
教职员工
院士
国家级人才计划
在职教职工
客座/兼职教授
博士后
光荣离退休
招聘信息
科学研究
科研动态
科研项目
安全管理
合作交流
教育教学
本科生培养
研究生招生与培养
博士后培养
访问交流
实验教学
前沿工程博士专业学位
党群工作
党建动态
规章制度
工会工作
学生工作
学工动态
规章制度
办事流程
联系我们
院友会
办公服务
联系我们
常用下载
搜索
您的关键词
学院概况
院长寄语
学院简介
学院机构
下属单位
挂靠单位
教职员工
院士
国家级人才计划
在职教职工
客座/兼职教授
博士后
光荣离退休
招聘信息
科学研究
科研动态
科研项目
安全管理
合作交流
教育教学
本科生培养
研究生招生与培养
博士后培养
访问交流
实验教学
前沿工程博士专业学位
党群工作
党建动态
规章制度
工会工作
学生工作
学工动态
规章制度
办事流程
联系我们
院友会
办公服务
联系我们
常用下载
首页
登录
English
旧版网站
通知公告
新闻动态
通知公告
研究成果
学术活动
>
名师讲堂
地质学论坛
地球物理论坛
空间论坛
遥感地信系列讲座
能源论坛
学术之星
学术会议
学术日历
通知公告
新闻动态
通知公告
研究成果
学术活动
名师讲堂
地质学论坛
地球物理论坛
空间论坛
遥感地信系列讲座
能源论坛
学术之星
学术会议
学术日历
返回
首页
-
新闻公告
-
通知公告
-
正文
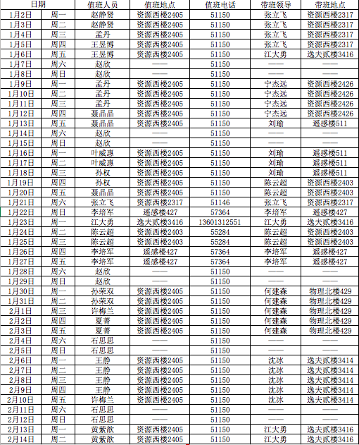
tyc8722太阳集团城2023年寒假行政人员带值班表
时间:2022年12月28日 15:25
作者:
点击数:
微信扫一扫:分享
微信里点“发现”,扫一下
二维码便可将本文分享至朋友圈。
上一篇:
能源研究院招聘科研秘书一名
下一篇:
第六届国际青年学者地质学论坛会议手册